- 
                                
                                    Ministry Of Commerce Releases Implementation Opinions On Green Trade, Focusing On Import And Export Of Biodegradable Materials And Other Products  On October 30, 2025, the Ministry of Commerce, with the approval of the State Council, issued the "Implementation Opinions on Expanding Green Trade" (Shangmao Fa [2025] No. 216), proposing 16 measures to promote green trade from four ma Degradable Plastic Committee
- 
                                
                                    AB Plasta Builds PE Film Recycling Production Line; Volvo's Q3 Profit Exceeds Expectations  International News Guide Raw Material News - Westlake Chemical Records $727 Million Impairment Loss on PVC Business Automotive News - Volvo Cars' Q3 Profit Exceeds Expectations Electronics News - Apple's Q4 Earnings Beat Expectations; Cook Pre Plastmatch
- 
                                
                                    Recycled PET Daily Review: Recycled PET Stabilizes Operation  1. Today's Summary ①、 The mainstream price of Jiangyin's imitation large-scale pure white clean sheets today is around 4700 yuan/ton, and the mainstream price of imitation large-scale blue-white clean sheets is around 4250 yuan/ton. ②、 On thi Longzhong
- 
                                
                                    Recycled Plastic Monthly Review: Price Gap Between New and Old Materials Continues to Narrow, Recycled Prices Under Pressure and Decline  Market Analysis for This Month Figure 1 2025 China Recycled PE Main Market Price Trend Chart (Unit: Yuan/Ton) Figure 2 2025 China's Recycled PP Main Market Price Trend Chart (Unit: Yuan/Ton) Data source: Longzhong Information Longzhong
- 
                                
                                    [Recycled PET Monthly Review] Recycled PET Fluctuates Weakly  1. This month's market analysis Figure 1 Domestic Recycled PET Mainstream Market Price Trend (Unit: Yuan/Ton) Data source: Longzhong Information Domestic Recycled PET Price Monthly Fluctuation Table Product Area Longzhong
- 
                                
                                    EVA Price Summary: EVA Market Remains Stable on October 31! Most Market Prices Unchanged  Today's EVA Market Brief: The EVA price range in the overall market today is 9,800-15,650 yuan, with the market median at 10,400 yuan. The following are today's market quotation details: Plastmatch Price
- 
                                
                                    PVC Price Summary: PVC Market Mostly Sees Declines on October 31st! General Drop of 30-70 Yuan, Largest Drop of 70 Yuan  Today's Brief Commentary on the PVC Market: As of 16:00 on October 31, Zhuanshu World Statistics reported that the majority of PVC markets across the country are showing declines. Prices have dropped in 76% of the market, with a maximum decrease of 7 Plastmatch Price
- 
                                
                                    [PS Quotation Summary] PS Market on October 31 Fluctuates! Maximum Rise of 150, Maximum Drop of 200 Yuan!  Today's PS Market Brief: As of 16:00 on October 31, according to Zhuanshu Shijie statistics, the PS market in various regions across the country showed mixed trends. In the entire market, 5% of quotes increased, and 5% of quotes decreased, with the h Plastmatch Price
- 
                                
                                    [ABS Quotation Summary] ABS Market on October 31 Stabilizes with a Decline, Maximum Drop of 350 Yuan!  Today's ABS Market Review: As of 16:00 on October 31, according to Zhuansu Shijie statistics, the ABS market across the country is stable with a slight decline! 91% of the quotes in the entire market remain stable, with the largest drop being 350 yua Plastmatch Price
- 
                                
                                    LLDPE Prices Mostly Down Nationwide on October 31, While LDPE Also Mostly Declines  Today's LDPE market commentary: According to the statistics from , on October 31, the prices of LLDPE in major regions across the country mostly decreased with few increases, and LDPE also saw more decreases than increases. Specifically, in the LLDPE Plastmatch Price
- 
                                
                                    HDPE Prices Rise Less, Fall More! Overview of HDPE Price Changes in Major Regions Across the Country on October 31st  Today's HDPE Market Brief: According to statistics from Zhuansu Shijie, on October 31, the HDPE market in major regions across the country saw more declines than increases. Specifically: - For HDPE film, the North China market rose by 10 yuan; the Plastmatch Price
- 
                                
                                    [Regional Market Prices] PP Rises Less and Falls More! Overview of PP Price Fluctuations in Major Regions Nationwide on October 31  Today's Brief Review of the PP Market: According to Zhuansu Shijie statistics, on October 31, the PP market in major regions across the country saw more declines than increases. Specifically, the PP block copolymer in the East China market rose by 50 Plastmatch Price
- 
                                
                                    Four Major Polyester Giants Release Latest Performance Results!  On October 30th, Rongsheng Petrochemical, Hengyi Petrochemical, Tongkun Group, and New Fengming, the four major polyester giants, successively released their third quarter reports for 2025. Specifically: Rongsheng Petrochemical In the fir High-performance resins and applications
- 
                                
                                    Chery's Revenue Reaches 214.833 Billion Yuan in First Three Quarters, Net Profit Soars by 28% to 14.365 Billion Yuan  IT HomeOn October 31st, it was reported that Chery Automobile announced at noon today that its revenue for the first three quarters of 2025 was 214.833 billion yuan, compared to 182.154 billion yuan in the same period last year; net profit was 14.365 IT Home
- 
                                
                                    Car Manufacturers Bind With Battery Factories, Supply Chain Autonomy Battle Begins  From joint ventures to equity cooperation, from technology collaboration to capacity binding, the Chinese new energy vehicle industry is witnessing a vigorous trend of "car and battery binding." Recently, Leap Motor and Zhongxin Chuanghang jointly es Plastmatch
- 
                                
                                    BASF Explores Mixed Recycling of Automotive Waste Plastics and Biomass to Create High-Value Feedstocks  October 30, 2025 - ETH Zurich andBASFA new collaborative study has explored an innovative approach for processing mixed plastic waste from end-of-life vehicles: recycling it by mixing with biomass. The research results indicate that, compared to inci puworld
- 
                                
                                    LYB Appoints Polysaf Ltd. as Non-Exclusive Distributor in IsraelLyondellBasell announced it has signed a distribution agreement appointing Polysaf Ltd., a subsidiary of the Tosaf Group, as its non-exclusive authorized distributor in Israel, effective from October 1, 2025. This collaboration reflects LYB's comm Plastmatch Global Digest
- 
                                
                                    Reflection and Review: 2025 Germany K Show Breakthroughs in the Field of Smart Rubber and Plastics  Two weeks have passed since the conclusion of the 2025 K Show in Germany. Although the bustling scenes of the exhibition have dispersed, the technological innovations and profound dialogues that foreshadow the future of the industry still merit our c Sulink
- 
                                
                                    [Pbat Morning New Price] October 31st PBAT Market Basically Stable! Most Market Quotations Remain Unchanged  Today's PBAT market commentary: The PBAT price range in the entire market today is 9600-9800 yuan, with a market median of 9750 yuan. The following are today's market quotation details: Plastmatch Price
- 
                                
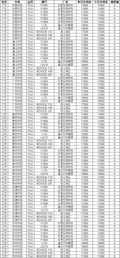
                                    [PLA Morning Prices] PLA Market Largely Stable on October 31! Most Market Prices Unchanged  Today's PLA Market Commentary: The current market price range for PLA is 17,000 to 19,000 yuan, with a market median of 17,500 yuan. The following are today's market quotation details: Plastmatch Price
Most Popular
- 
                        
                              Brazil Imposes Five-Year Anti-Dumping Duty of Up to $1,267.74 Per Ton on Titanium Dioxide From China 
- 
                        
                              Mexico officially imposes tariffs on 1,400 chinese products, with rates up to 50% 
- 
                        
                              MOFCOM Spokesperson Answers Questions from Reporters on China-U.S. Kuala Lumpur Trade Consultations Joint Arrangement 
- 
                        
                              "Golden October" Weak, Polyethylene Prices Hit New Low of the Year in October 
- 
                        
                              China-U.S. Summit in Busan Tomorrow! Syensqo Launches New PAEK Material; Ascend Debuts at Medical Summit 
 
                                 
                 
                
                 
                         
                         
                         
                         
            