-
Polyamide 66 Weekly Review: Costs Remain High, Market Prices Rise Steadily
Key Market Highlights This Week This week, the polyamide 66 (PA66) market was primarily driven by the cost side, with the average prices of raw materials, adipic acid and hexamethylenediamine, rising sharply, leading to continued increasing cost pres
Plastmatch -
Polyamide 6 Weekly Review: Market Sentiment Shifts, Polymer Inventory Rises Modestly
I. This Week's Market Focus Points II. This Week's Market Analysis This week, the price of regular PA6 filament has fluctuated significantly, with the mainstream transaction range reaching 12,800-13,000 yuan/ton (cash on delivery) as of Thursday. At
Plastmatch -
[Pbt Weekly Review] Price Strongly Rises, Industry Turns Profitable
A. Market Performance Review for This Week This week, the PBT market in East China saw a significant price increase. The main closing prices for medium and low viscosity PBT resin ranged from 10,000 to 11,500 yuan per ton, and the indust
Plastmatch -
High-End Game Reveals, Downstream Procurement Caution Remains Unchanged
I. Key Market Focus Points This Week This week, the ex-factory prices of domestically produced POM have continued to rise, with a growing sense of markettranslated as "wait-and-see sentiment" becoming more pronounced. The intention of do
Plastmatch -
Pmma Weekly Review: Raw Material Prices Face Resistance, Particle Market Stands High With Stagnation
Weekly Market Focus Points The MMA market surged significantly, intensifying cost pressures on PMMA granules; industry capacity utilization remained at 60%, unchanged from last week; downstream buyers’ acceptance of high-priced materials is weak, and
Plastmatch -
[Pet Bottle-Grade Weekly Review] Major Factories Reduce Contracts, Chip Prices Continue to Rise Strongly
I. This Week’s Market Focus Points The production capacity utilization rate of the polyester bottle chip industry this week is 71.75%; the operating rate of the upstream PTA industry is 78.40%, with the raw material side providing certain cost suppor
Plastmatch -
PC Weekly Review: Market Rises Then Falls, Mainly High-Level Consolidation and Adjustment
I. This Week's Market Focus Points This week, the price spread between polycarbonate (PC) and its raw material bisphenol A (BPA) narrowed, leading to a sequential decline in PC industry profitability; some PC production units underwent alternating st
Plastmatch -
[ABS Weekly Review] Geopolitical Factors Drive Significant Market Price Increase
I. This Week's Hot Topics ABS market average price increased significantly this week, industry output slightly decreased, and petrochemical plant inventory decreased slightly. II. This Week’s ABS Market Trends The ABS market price rose significantly
Plastmatch -
Polypropylene Weekly Review: Geopolitical Tensions Drive Market Rollercoaster
I. Key Market Focus Points This Week Production: This week, the output of polypropylene in China was 722,600 tons, a decrease of 45,700 tons from last week's 768,300 tons, a decline of 5.95%; compared to the same period last year's 777,400 tons, it d
Plastmatch -
[Ps Weekly Review] Strong Cost Support, Market Continues Significant Uptrend
I. Key Issues to Watch This Week This week, the domestic PS market continued to surge significantly, with price increases ranging from RMB 1,300 to 2,300 per ton, primarily driven by the continuous rise in feedstock styrene prices. In te
Plastmatch -
Polyethylene Weekly Review: Spot Prices Rise Overall, Future Expected to Continue Uptrend
I. Summary of Market Conditions This Week In this period, international market prices have significantly increased, influenced by the tense geopolitical situation in the Middle East, disruptions to shipping in the Strait of Hormuz, and production cut
Plastmatch -
【Overseas Highlights】United States Launches New 301 Tariff Investigation; Tesla Experiences Escalating Departures; Lg Sets Benchmark For Injection Molding Process
International News Highlights: Ingredients News – Mondelez International Launches Cadbury Easter Egg Products with Packaging Containing 65% Recycled Plastic Auto News – Tesla’s Departure Wave Escalates: Software Director and CFO Announce Resignations
Plastmatch -
EVA Quotation Summary: EVA Market Steady With Gains On March 12—Up By Up To USD 400
Today’s EVA Market Brief According to EVA View, as of 4:00 PM on March 12, the national EVA market remained stable with some increases! 75% of the market quotations remained stable, with the highest increase of 400 yuan. The current quotation for Lia
Plastmatch Price -
PVC Price Summary: PVC Market Mostly Rises on March 12, With General Increases of 100–470 Yuan
Today’s PVC Market Brief According to Zhuan Su World's statistics, as of 4:00 PM on March 12, PVC markets in most regions across the country have risen! 94% of the market quotes have increased, with the highest rise being 470 RMB. The current quote f
Plastmatch Price -
[Ps Quotation Summary] Ps Market Steady With Increase on March 12! Highest Rise of 450 Yuan!
Today’s PS Market Brief According to ZhuanSu Vision statistics, as of 16:00 on March 12, the national PS market remained generally stable with some increases. 58% of market quotes held steady, while the highest price rose by RMB 450. Currently, in th
Plastmatch Price -
ABS Quotation Summary: ABS Market Rallies And Declines On March 12—Prices Rise Up To $450, Fall As Much As $350
Today's ABS Market Brief: According to Zhusu Vision, as of 16:00 on March 12, ABS markets in various regions of the country showed mixed price movements! 6% of the quotations increased, 4% decreased, with the highest increase of 450 yuan and the larg
Plastmatch Price -
Plastic's "Special Forces": Why Engineering Plastics Can Withstand High Temperature and Pressure
In the plastic family, engineering plastics are like "special forces," capable of maintaining stability in extreme environments such as the flames of rocket engines, the high temperatures of car engines, and medical sterilization. They are "super
Kejing Polymer -
Pulit's $100 Million Project Kicks Off! From Automotive Materials to Robots, Are Chinese Modified Plastics Enterprises Ready?
Plastic Vision found that recently, at the Q1 industrial project groundbreaking event held in Nansha, Guangzhou, the total investment exceededProjects worth 30 billion yuan started simultaneously. Among them, the South China headquarters and R&D
Plastmatch -
400,000-Ton Large-Scale Modified Plastic New Base Breaks Ground
Recently, Nansha District in Guangzhou held a centralized groundbreaking ceremony for projects launched in the first quarter, including the Polytech Plastic Modification Materials South China Headquarters and R&D Intelligent Manufacturing Base Pr
Color Masterbatch Industry Network -
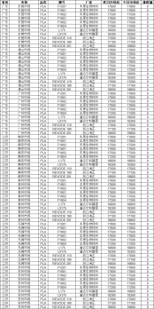
Daily Review: Polypropylene Pellets Prices Rise Slightly Amid Firm Producer Offers
On March 12th, the average market price of polypropylene granules was 8,584 yuan/ton, an increase of 460 yuan/ton from the previous working day, with a growth rate of 5.66%. Today, the mainstream market transaction price of polypropylene granules for
BCF Info
Most Popular
-
Supply Extremely Tight! LG Chem Declares Force Majeure on Export Contracts for Di-Octyl Terephthalate (DOTP)
-
Huntsman Introduces “War Surcharge” Amid Shipping Disruption and Soaring Energy Costs, Global MDI Prices Continue to Rise
-
Middle East Tensions Escalate Sharply: How Polyolefins Respond Amid Soaring Risk Premium
-
Deadly Impact: Hormuz Strait Blockade Sparks Shortage of Plastic Raw Materials, Threatening Shutdowns at Japanese and Korean Chemical Plants
-
LG Chem Declares Force Majeure on DOTP Exports! SABIC Joins Five Giants to Redefine EV Safety