- 
                            
                                Domestic polylactic acid leader's net profit continues to decline! why is imported polylactic acid priced higher?  The release of Haizheng Biomaterials' third-quarter report has brought renewed focus to the polylactic acid (PLA) industry. The financial report shows that the company's total operating revenue for the first three quarters was 621 million yuan, a yea Biobased biodegradable materials
- 
                            
                                【overseas news】Sino-U.S. Economic and Trade Consultations Release Consensus on Results! Celanese Announces Factory Closure; General Motors Lays Off Employees and Halts Production  Headline Summary: Raw Material News-OMVRaise the performance expectations for the European olefins industry, and lower the sales forecast for polyolefins. Automotive News-General Motors layoffs exceed3400Human, suspend part of the battery factory pr Plastmatch
- 
                            
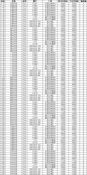
                                PLA Price Summary: PLA Market Basically Steady on October 30th! Most Market Quotes Remain Unchanged  Today's PLA market commentary: Today's PLA Market Brief: The price range for PLA in the market today is 17,000 to 19,000 yuan, with a market median of 17,500 yuan. Here are today's market quotation details: Plastmatch Price
- 
                            
                                China-U.S. Summit in Busan Tomorrow! Syensqo Launches New PAEK Material; Ascend Debuts at Medical Summit  International News Guide Additive News - Merger and Acquisition in Colorant Sector Finalized: Chroma Acquires Ferco Building Materials News - Syensqo Launches AvaSpire PAEK Material to Innovate Pipeline System Applications Packaging News - Targeting Plastmatch
- 
                            
                                Preparation and weather resistance of modified nanocellulose aerogel/polylactic acid composites by china national petroleum and natural gas pipeline group  Abstract: Traditional bio-based biodegradable material polylactic acid (PLA) is greatly limited in its further development due to its brittleness, low toughness, and poor weather resistance. Developing bio-based biodegradable composites with excelle Engineering Plastics Applications
- 
                            
                                Mitsui chemicals × polyplastics join forces! china-asean mutual recognition standards; us and mexico agree to extend trade negotiation deadline  International News Brief: Mitsui Chemicals and Polyplastics Announce Partnership to Collaborate on Marketing of Engineering Plastic Products Car News - Europe's September Car Sales Grow 11% to 1.24 Million Recycling News - The Cold and Hot of Chemica Plastmatch
- 
                            
                                From Ordinary Plastic to High-End PLA! How Guilin Xinfan Talc Powder Achieves Premium Breakthrough?  According to data released by Global Market Insights, the global talc market is expected to reach USD 9.8 billion by 2027, with a compound annual growth rate of 4.5%. This growth momentum is primarily driven by the explosive demand for high-performan Plastmatch
- 
                            
                                Pbat Morning New Price: October 28th Pbat Market Basically Steady! Most Market Quotes Unchanged  Today's PBAT Market Brief: The current market price range for PBAT is 9600-9800 yuan, with a market median of 9750 yuan. Here are today's market price details: Plastmatch Price
- 
                            
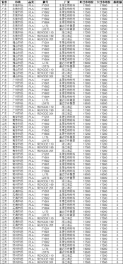
                                PLA Morning Prices: October 28 PLA Market Remains Stable! Most Market Quotes Unchanged  Today's PLA Market Review: Today's PLA price range in the entire market is 17,000 to 19,000 yuan, with a market median of 17,500 yuan. Here are today's market quotation details: Plastmatch Price
- 
                            
                                First Wave of Guest Reveals! Led by Professor Zhang Liqun, with Jinfa Technology, Goodyear, Yanfeng, Honeywell, LyondellBasell and Others  2025 (3rd) Polymer Recycling Conference Chemical recycling, physical recycling, innovative applications, dynamic polymers Conference Overview The recycling of polymers has become an important way to alleviate global resource Recycling and Reuse of Polymers
Most Popular
- 
                        
                              Brazil Imposes Five-Year Anti-Dumping Duty of Up to $1,267.74 Per Ton on Titanium Dioxide From China 
- 
                        
                              Kingfa Sci & Tech Q3 Net Profit Attributable to Shareholders Rises 58.0% YoY to 479 Million Yuan 
- 
                        
                              List Released! Mexico Announces 50% Tariff On 1,371 China Product Categories 
- 
                        
                              China-U.S. Summit in Busan Tomorrow! Syensqo Launches New PAEK Material; Ascend Debuts at Medical Summit 
- 
                        
                              MOFCOM Spokesperson Answers Questions from Reporters on China-U.S. Kuala Lumpur Trade Consultations Joint Arrangement 
 
                                 
                 
                
                 
                         
                         
                         
                         
            