PLA Market Generally Steady on December 26th! Most Market Prices Unchanged
Today's PLA Market Brief:
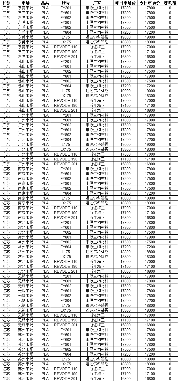
Today, the price range for PLA in the whole market is 16,800 to 19,000 yuan, with a market median of 17,500 yuan.
The following are today's market quotation details:

【Copyright and Disclaimer】This article is the property of PlastMatch. For business cooperation, media interviews, article reprints, or suggestions, please call the PlastMatch customer service hotline at +86-18030158354 or via email at service@zhuansushijie.com. The information and data provided by PlastMatch are for reference only and do not constitute direct advice for client decision-making. Any decisions made by clients based on such information and data, and all resulting direct or indirect losses and legal consequences, shall be borne by the clients themselves and are unrelated to PlastMatch. Unauthorized reprinting is strictly prohibited.
Most Popular
-
List Released! Mexico Announces 50% Tariff On 1,371 China Product Categories
-
EU Changes ELV Regulation Again: Recycled Plastic Content Dispute and Exclusion of Bio-Based Plastics
-
[PET Weekly Outlook] Polyester Bottle Chips Expected to Oscillate and Warm Up with Costs Today
-
Case Study | Clariant AddWorks™ Additives Solve Plastic Yellowing Problem
-
EVA Morning Prices on September 12: Most of the Market Holds Steady, Highest Rise of 50 Yuan